Movement ecology and foraging behaviours of oceanic manta rays Mobula birostris in the coastal waters of Aotearoa, New Zealand
December 2025
Tamsin M. Cooper, Lydia Green, Edy Setyawan, Mark Erdmann, Clinton A. J. Duffy, Rochelle Constantine & Alice Della Penna
Keywords: Mobulid • Manta Ray • Foraging • Bio-logging • Satellite Tracking • Generalized Additive Models • New Zealand
Summary: Understanding animal movements is vital for effective conservation, especially for species like the Endangered oceanic manta ray (Mobula birostris), which is vulnerable due to its slow life history. Twelve individuals were tracked for 9–84 days in northeastern Aotearoa, New Zealand, using high-resolution GPS tags, revealing wide variation in fine-scale movements within the Hauraki Gulf and nearby shelf. Rays spent most time in surface waters (<5 m), occasionally diving to 365 m. Daytime foraging was influenced by northerly winds but reduced by high wind speeds, while deeper dives occurred mainly at night and during gibbous moons. Knowledge of prey distribution remains a key gap.
Abstract
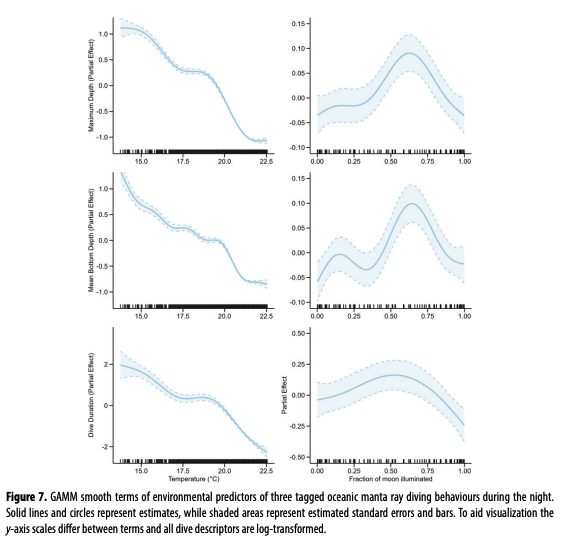
“Understanding the movements and associated behaviours of animals is critical for informed management decisions. This is particularly important for species such as the Endangered oceanic manta ray (Mobula birostris), which has a conservative life history and is therefore vulnerable to population disturbances. Twelve oceanic manta rays were tracked for 9–84 days using high-resolution SPLASH10F-321A/E Fastloc GPS tags during their seasonal presence in northeastern Aotearoa, New Zealand, which indicated broad variation in fine-scale (100 m to 10 km) movements in Tīkapa Moana—Te Moananui-ā-Toi—the Hauraki Gulf and the nearby shelf. While in this region, the tagged oceanic manta rays spent most of their time in surface waters <5 m, with occasional dives up to 365 m. Generalized additive mixed-effect models indicate that movement patterns associated with daytime foraging in the region are linked to northerly winds but inhibited by high wind speeds (10+ ms−1). Dives deeper than 5 m were more frequent at night, and during gibbous moon phases. A key challenge of this study is the lack of knowledge about oceanic manta ray prey composition and distribution: gathering and incorporating this information into modelling is necessary to better understand the movement ecology and behaviours of manta rays at the southernmost part of their range.”
Author Affiliations
Institute of Marine Science, and School of Biological Sciences, University of Auckland
Manta Watch Charitable Trust
Elasmobranch Institute Indonesia
Conservation International,
Re:wild
Department of Conservation, Auckland, New Zealand
Auckland War Memorial Museum
Funded By:
MAC3 Impact Philanthropies
Daniel Roozen
Audrey and Shannon Wong
Save the Blue Foundation
Live Ocean Foundation
Wolcott Henry Foundation
Katrine Bosley
Barry and Fiona Gray
Marie-Elizabeth Mali
Wolcott Henry Foundation
University of Auckland Research Master’s Scholarship
Pub Charity
Lion’s Foundation.
Contribution towards the Manta Trust's Strategic Plan
Goal 3: Strategic Objective 3.4 – The environmental drivers on manta ray populations are better understood to help determine the impact of the climate crisis and inform conservation measures.
Goal 3: Strategic Objective 3.5 – Impact of boat strikes and entanglement are better understood to inform necessary conservation measures.
